안녕하세요 부산 에코델타시티 청약이 많은 관심을 받고 있는데요. 이번에 에코델타 디에트르 2차, 디에트르 그랑루체 청약 일정이 올라왔습니다. 청약 일정과 함께 분양가 등 사업개요에 대해 알아보는 시간을 갖도록 하겠습니다.
목차
- 분양 일정
- 청약 자격
- 공급 세대수
- 청약 분양가
- 에코델타 최근 단지 분양가
- 사업개요
- 입지환경
- 단지배치도 및 평면도
- 모델하우스 위치
분양 일정
특별공급 | 2023. 12. 05 |
일반 1순위 | 2023. 12. 06 |
일반 2순위 | 2023. 12. 07 |
당첨자 발표일 | 2023. 12. 13 |
계약일 | 2023. 12. 25 ~ 12. 27 |
청약 자격
- 부산광역시, 울산광역시, 경상남도에 거주하는 만 19세 이상인 자
- 부산광역시 거주자 우선 공급
- 세대주인 미성년자(자녀양육, 형제자매 부양)
- 청약통장 6개월 이상
공급 세대 수
특별공급
타입 | 생애최초 | 다자녀 | 신혼부부 | 기관추천 | 노부모부양 | 계 |
59A | 31 | 17 | 30 | 16 | 5 | 99 |
59B | 24 | 12 | 22 | 12 | 4 | 74 |
84A | 86 | 46 | 82 | 45 | 14 | 273 |
84B | 67 | 35 | 63 | 35 | 11 | 211 |
110A | 0 | 19 | 0 | 0 | 5 | 24 |
110B | 0 | 18 | 0 | 0 | 5 | 23 |
일반분양
타입 | 총 공급 세대 수 |
59A | 165 |
59B | 124 |
84A | 455 |
84B | 355 |
110A | 192 |
110B | 179 |
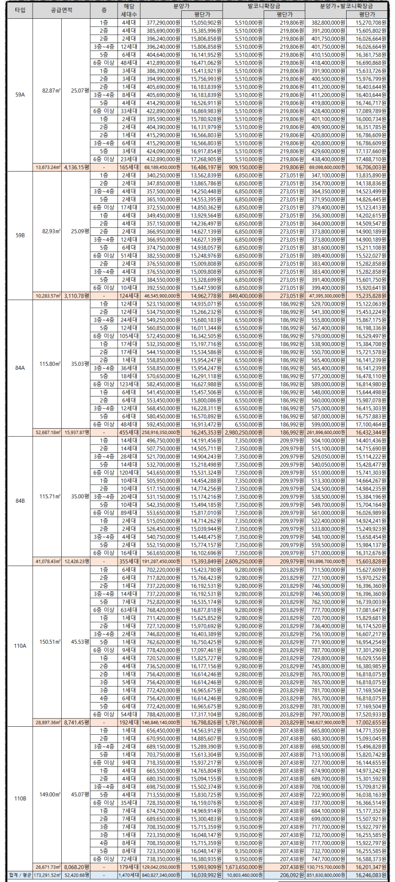
청약 분양가
평균 분양가 : 5.71억 원, 평당 1,603만 원
국평 84A 타입 평균 분양가 : 5.69억 원, 평당 1,624만 원
으로 에코델타에서도 고급화가 적용된 아파트이기 때문에 최근 분양된 단지들보다 조금 높은 분양가를 보여주고 있습니다.
에코델타 최근 단지 분양가
아파트 단지 | 시공사 | 입주시기 | 세대수 | 분양가(평당) |
호반써밋 | 호반 | 24년 1월 | 526 | 1,610 |
푸르지오 린 | 대우, 우미 | 25년 10월 | 886 | 1,624 |
강서 자이 | GS건설 외 3 | 25년 5월 | 856 | 1,402 |
E편한세상 센터포인트 | 디엘이앤씨 외 4 | 25년 4월 | 953 | 1,403 |
푸르지오 센터파키 | 대우 외 3 | 25년 6월 | 972 | 1,452 |
디에트르 더퍼스트 | 대방 | 26년 7월 | 972 | 2,223 |
대성 베르힐 | 디에스 | 26년 3월 | 1,120 | 1,547 |
중흥 S클래스 | 중흥 | 26년 11월 | 1,067 | 1,504 |
국평 84㎡ 기준 분양가가 평당 1,400만 원대 ~ 2,200만 원대입니다. 같은 디에트르 1차인 더퍼스트가 2,223만 원으로 가장 높은 분양가를 보여주고 있습니다. 얼마 전 낮은 분양가로 관심을 받았던 중흥은 1,504만 원입니다.
사업 개요
사업 위치 | 부산 강서구 에코델타시티 공동 13BL |
세대 수 | 1,470세대 |
입주 시기 | 2027. 5. 1 |
시공사 / 시행사 | 대방 건설 / 대방 하우징 |
동수 / 층수 | 27개 동 / 가장 높은 층 : 14층 |
주차 | 세대당 약 1.7대(총 2,458대) |
타입 | 59 ㎡, 84 ㎡, 110 ㎡ |
입지 환경
- 부전 - 마선 복선 전철이 공사 중에 있으며 강서선이 추진 중에 있습니다. 그로 인해 접근 가능한 가덕도 신공항이 2029년 조기개항 개발 진행 중에 있습니다.
- 에코델타시티역이 단지 근처에 있어 부산, 김해로 이어집니다.
- 단지 앞 초등학교, 유치원이 있으며 신호등 한 번으로 고등학교와 중학교를 갈 수 있는 좋은 학세권을 가지고 있습니다.
- 평강천이 5분 거리에 있어 산책, 운동에 편리합니다.
단지 배치도
84A, B 단지들이 단지 위쪽으로 있으며 유치원, 키즈카페 근처로 59A, B가 위치해 있습니다. 제일 큰 타입인 110B가 평강천을 바라보는 방향으로 위치해 있어 가장 뷰가 좋은 타입인 듯합니다. 84A도 한동은 평강천을 바라보고 있어 이곳 또한 좋은 동이라고 생각됩니다.
평면도
모든 84A, 110A는 6미터가 넘는 거실을 가지고 있습니다. 대체적으로 좋은 구조를 가지고 있어 호불호가 적을 것으로 예상됩니다.
모델하우스 위치
견본주택은 부산광역시 강서구 명지동 3593-4 에 위치하고 있습니다. 11월 30일부터 오픈하니 참고하시어 한번 가보시는 것을 추천합니다.
앞서 나온 에코델타시티의 다른 단지의 분양가보다 높은 분양가로 부담을 느낄 청약예정자들을 위해 1차 계약금을 1000만 원으로 정액제로 실시할 예정입니다. 또한 고급 옵션들을 한시적 무상 제공할 계획을 가지고 있으므로 많은 관심을 받고 있습니다.
바로 다음주가 청약예정일이니 견본주택도 한번 방문해 보시고 본인 상황에 잘 맞는 선택하시길 바랍니다. 감사합니다.